什么是职业倦怠?不仅仅是累坏了。
绝大部分的打工族都会有过劳的经历,但倦怠比累坏还要严重。倦怠会严重影响职场人士的身心健康,但是,网上关于如何防止倦怠的文章大部分都是从个人层面去讲的,基本上都不靠谱。
这篇关于倦怠的终极指南从组织的角度分析了倦怠的定义、表现、原因与对策,值得打工族与管理者参考。
正文:
谁都有倦怠(Burnout)的时候。但这也是可以预防的。工作累坏了之前,会有警告信号。
这篇关于倦怠的全面指南将帮助你识别这些迹象,并帮助你尽早预防倦怠,免受它的影响。或者,如果你已经精疲力尽,本指南也介绍了我们目前所知道的有关如何恢复精力的所有内容(不过你很快就会看到——事实证明,我们知道的并不多)。
为什么要做这个指南?网上谈倦怠的文章已经很多了,不过里面主要是讲一些轶事。当然,这些关于倦怠的故事也很重要!这些故事告诉了我们倦怠在现实生活中的样子。但是,如果我们想尽早摆脱倦怠,并在倦怠影响到我们的职业生涯之前应对好它,光看那些轶事是不够的。我们还需要检查研究。
本指南希望能解决这个问题,我们的手段是总结对倦怠的最佳科学研究。毕竟,我们不想把对任何主题的理解建立在纯粹的轶事上。
本指南的适用对象?我们认为,如果你觉得自己对预防职业倦怠感兴趣,或者你目前正受到职业倦怠的影响的话,最好看看本指南,不管你处在职业生涯的哪个阶段,都可以适用。
让我们开始吧。
一、什么是倦怠?
倦怠是一种因为长期工作压力引起的心理状态。
倦怠有三个关键特征:
1.疲惫不堪(exhaustion)。
2.玩世不恭(cynicism)。
3.效率低下(ineffectiveness)。
一开始的时候,研究人员认为倦怠是个人的问题。但目前,我们对倦怠的理解变得不一样了,我们觉得这是一种社会背景下的压力体验。
这是什么意思?正如心理学家 Jacinta Jiménez 所说那样:“‘倦怠’的一大影响因素是个人工作所处的社会环境……” 研究倦怠的先驱 Christina Maslach 写道:“这个三维模型(……)很清晰地把个人压力放在社会环境里面去体验,同时也牵涉到个人对自我以及他人的看法。”
倦怠的三个特征,也就是疲惫不堪、玩世不恭以及低效,这三者构成了一种测量方法的要素,它的名字叫做马斯拉赫职业倦怠量表(Maslach Burnout Inventory ,MBI)。
MBI 是一种以全面的心理测量研究为基础的、广受认可的测量方法,已经在众多不同的语言中得到了验证。
MBI 对于理解什么是倦怠至关重要,因为这说明要三要素都具备了才会被认为是倦怠。你可能已经身心疲惫,但仍不会被看作是倦怠,因为你还没有玩世不恭的感觉,或者还不至于工作效率低下。
比方说,玛丽可能很讨厌自己的老板,跟老板的反复争吵让她连续好几周都觉得筋疲力尽。但是,她的工作很有意义,她仍然能够高效地实现自己的目标。
如果你遇见经历了一系列令人筋疲力尽的工作后的玛丽,你可能会觉得她看起来很糟糕,或者她也许无法胜任目前的工作了。但现实是,她远还没到倦怠的地步。也许已经筋疲力尽,但还没有倦怠。
(但是,如果与老板之间的“仗”还是没打完,玛丽可能就会对工作变得玩世不恭,或者她负责的某些事情可能就开始搞不定了。如果发生了这种情况,我们就可以说她倦怠的风险更高了。倦怠大概就是这么发展的;稍后我们会分析倦怠的各个阶段。)
传统上,在更侧重以人为主的职业(比如医生、护士和教师)里,倦怠被认为是一种职业危害。这些岗位的角色面临与服务型工作相关的问题会更普遍,而且大家普遍对他们的奉献精神有期望,这一点与其他职业不一样。
比方说,大家对医生护士的预期是,为了病人应该工作很长时间(可能还得定期处理死亡问题)。教师应该多付出,为学生提供尽可能好的教育。事实上,1981 年曾经有篇文章指出,“倦怠”这个词之前与“老师”如影随形。
但现在的情况已经改变——任何职业都可能发生倦怠。COVID-19 就是很好的例子,它已经影响到生活的方方面面。这场疫情使倦怠变得更加普遍,导致了“疫情性倦怠”、“创作者倦怠”以及“Zoom 倦怠”等术语的诞生。词汇变化可能让事情变得更糟。
今天,“工作”(work)一词已经渗透到生活的各个方面。我们要经营婚姻(work on our marriages)。我们要努力培养好孩子(work on raising good kids)等等。
二、倦怠是什么样的?
我们对倦怠及其症状已经有了初步了解,接下来再用一些故事来润色一下,让大家看看倦怠在现实生活中是什么样的。
01.Johnny Rodgers 的故事
那是 2014 年 1 月,当时 Johnny Rodgers 正在同时做着两个项目。下个月 Slack 就将公开发布一个版本,他是其中的 8 名开发者之一。整个团队都非常投入,而且行动十分敏捷。同时他还启动了一个业务项目,叫做 Give。这款 app 他开发了三年,音乐爱好者可以利用这款 app 直接向自己最喜欢的艺术家捐款。
他每天投入到 Slack 上面的时间是 9 到 10 个小时,回到家之后,他会再折腾自己的 Give ,大概要弄 3 到 4 个小时。
我睡得不多,又没注意到本该留意的那些压力的迹象:头痛、焦虑,以及持续的自我怀疑。
我学到了很多东西,而且对这项工作感到自豪,但其实我已经被拉到崩溃的边缘。我靠的是忽视健康,狂喝咖啡和更加努力工作来适应这种情况。
到了某个周五,这种情况的后果终于爆发,Rodgers 出现了胃痛的状况。最后痛到他被迫去了急诊室。他在急诊室呆了一整夜,医生给他喉咙插上管子,试图找出问题所在。经过了探查术之后医生找出来他的病因:肠道已经完全阻塞。后来他做了 3 次手术,在医院住了 7 天后才能出院。
没有工作压力那晚我可能也会住院。但事后看来,很显然我的身体已经向大脑发出信号,要我停下来了。我已经超越了极限,并为此付出了沉重代价。几个月来,我的饮食和行动都受到了限制。
02.Michael Stephens 的故事
Michael Stephens 是维珍航空的营销创意总监。因为手头有很多大项目要处理,他需要工作很长的时间。此外,他的通勤时间也很耗时,他的部分工作就是让团队变得多余,这给人的感觉不好。在私生活方面,当时他又正好跟女友分手。这一切都让他感觉站在了“悬崖边上”。
一开始的表现不怎么容易觉察。我失眠了,然后给自己开了点药,之后是可以睡觉了,但后来才发现没有药我就无法入睡。接着,其他的症状也悄悄出现,并变得更加突出了——包括肠易激综合征还有湿疹。渐渐地,我的脖子也开始疼了。结果到了某一天,我一觉醒来,发现自己连动都不能动了。我被迫去看全科医生。她当即告诉我得马上请假。我说不行啊,我还有工作要做。她说:“不行。你现在真的得休息了。”我想当时我应该打了电话给老板。我在电话里面崩溃到哭了,因为突然之间这一切都变成真的了。我请了几个星期的假,个中的体会我没法跟大家分享。其实我真正休息的时间并没有三周。在家的时候我仍然回复电子邮件,接听电话。我意识到,如果再回去工作的话,有些事我得彻底改变了。要不就得休息很长一段时间。我选择了后者。我第一次将身心健康放在了职业抱负的前面。
03.Paula Davis 的故事
与前面的例子相似,Paula Davis 是一位精力充沛的律师。她做得很好;有一段时间,她每个月都能完成几笔价值数百万美元的案子。但内心深处,她感到筋疲力尽、玩世不恭、有无力感。
我累坏了,这是一种不同于以往的疲惫。如果说情绪上的痛苦不算什么的话,就连起床去上班都变得非常困难。原先周一早上闹钟一响就能从床上弹起,准备开始新的一周,现在却变成磨磨蹭蹭,迈不开脚步。到了周末也没有足够的时间完全恢复(哪怕没有工作),就算去休假,只能暂时缓解一下情况。工作或生活上的事情,无论多么小,都变成了一件大事。我记得有一次我要去我妈那里,在路上她打电话给我让我顺路买些杂货,就这么一个非常基本的要求,我的反应却非常迟缓。那不是我的个性——这是一个危险信号。
其次,即便按照律师的标准,我也算是玩世不恭。慢慢地我开始看别人不顺眼。当客户带着法律问题来找我时,表面上我在很专业地应对着,但内心的我已经开始翻白眼,“真的吗?就这点事你自己都搞不定?”或者“我们不是已经讨论过这个了吗?”不想理任何人对我来说很不寻常,我只想一个人呆在办公室里。
第三,我开始觉得自己效率低下。我从未对自己成为一名优秀律师的能力失去信心,但走法律这条路未来在哪里我已经看不清楚了。我曾到一家小型精品公司工作过,然后去了一家大型律师事务所。接下来呢?
Davis 最终辞掉了工作,康复后,她创办了压力与恢复力研究所(Stress & Resilience Institute)。
04.Nurhaida Rahim 的故事
Nurhaida Rahim 的工作是她梦寐以求的那种。她是联合国的援助工作者,曾在南苏丹、叙利亚和也门等“艰苦工作地点”工作。她说,当她去到偏僻之地,每天工作 10 小时,然后回到自己用集装箱做成的房子里喝着过期的啤酒时,一股快意会油然而生。
但之后她变得筋疲力尽,没有成就感,变得尖酸刻薄——尽管事实上这是她梦想的工作!所以她每天早上都告诉自己“别抱怨”。
罪魁祸首?工作。这项工作很折磨人:
……就是没完没了地开会,一个会议滋生出更多的会议,然后为了多筹钱要写提案,同事们都得身兼数职。大家对项目进展缓慢感到恼火,疲惫是我们共同认可的唯一货币。如果辞职不干,几乎相当于说我不适合干这行工作。而且因为做国际援助领域的工作一直是我的梦想,所以我不打算向倦怠这个混蛋屈服。
因为长期“吸烟、吃快餐,喝便利店的酒”,Rahim 终于得了支气管炎,这场病拖了她 2 个月。再一次地,她觉得自己不能抱怨。作为一名援助工作者,她看到自己要救助的人其实比自己难得多,他们“要应对战争和冲突带来的真正创伤”。与他们面临的困境相比,自己的麻烦算不了什么。
后来在朋友的催促下,她才开始走上康复之路。她得到了专业的帮助,换了工作,最关键的是,她彻底改变了自己,变得关注起自己的身心健康了。她花了很长时间才痊愈。
三、倦怠的反面是什么?
好了,倦怠是什么样的你已经看过了,那么再谈谈倦怠的反面也许是值得的。反面会很有趣,因为这会让我们有目标。毕竟,你想的可不只是不吃快餐。你还想知道该吃什么,什么可以多吃。同样地,光说如何避免倦怠是不够的,讲点积极的东西也很有用。
一些研究人员认为,倦怠的反面是所谓的“工作投入”(work engagement),或者简称为“投入”。
不同的研究人员的确切定义各不相同。衡量是否投入的方法之一是反转 MBI。MBI 有三个维度,那么这一版本的“投入”也包含相同的三个维度,只不过量值正好反过来。按照这一定义,高度投入的人:
1.精力充沛(high energy)
2.高度参与(strong involvement)
3.效率很高(efficacy)
由于对投入的研究还比较新——甚至比对倦怠的研究还要新——所以对于投入的模型还没有明确共识,很多地方还存在争议。不过科学文献引用最多的投入模型是工作投入量表(Utrecht Work Engagement Scale,简称 UWES )。
UWES 对员工投入程度的定义基于三个因素:
1.活力(Vigor)
2.奉献(Dedication)
3.专注(Absorption)
UWES 共有 17 个问题,员工(甚至学生)可以在线进行测试。其有效性已经过了不同国籍、种族以及工作的验证,差异很小。
举一个真实例子,此人 UWES 的测试得分很高,他的名字叫做 William:
William 热爱工作,谈起工作总是充分热忱。每一天,他都动力十足,希望能做到出类拔萃,并热情地投入到工作当中。对于自己的工作,他觉得这件事情很有挑战,但也令人兴奋和愉快,没有要求的事情他也做了很多,而且乐在其中。William 有创造的自由,而且感觉自己总是在学习新事物。虽然他一直在忙,但往往完全沉浸在工作之中,很少感到疲倦或疲惫。相反,工作似乎给他带来能量,每天他都为能够重新投入工作而感到高兴。即便有时候会遇到困难,William 仍然能坚持下来。他非常专注自己的工作,总是觉得自己在处理有趣和重要的问题。尽管如此,该放松的时候他也能从工作中解脱,并且知道什么时候该把工作放到次要地位。虽然他经常全情投入自己的工作,但工作之外他也会尽情享受。William 的座右铭是:工作很有趣!
你我也许还没到达 William 的境界,但这个目标是可以达成的!为了提高工作的投入度,我们可以:
1.协作。提高工作投入度应该是大家一起做的事情。领导者应该尝试建立一套流程,去鼓励发挥创造力,提高工作的热情。
2.建立持续的过程。工作投入是一个持续的过程,不是一次性事件。领导者应该明白,它需要不断的监控、适应以及行动。
3.了解目标。投入有多种含义,但对你而言,这意味着什么?
4.发挥创意。怎么做到工作投入并无硬性规定。系统研究还在开展,每个公司都不一样,所以各个做法都会有一定的适用性,自己要根据情况采用。
5.评估。收集对提高工作投入度行动所产生影响的反馈,对其进行评估并加以改进。
6.分享。提供有关工作投入情况的进度报告。
![【认知】职业倦怠终极指南:症状、成因与预防插图 图片[1]—【H181】职业倦怠终极指南:症状、成因与预防—求知行囊阅览室](https://www.aganrz.cn/wp-content/uploads/2025/06/921c1bf4-9554-4cc9-bb0a-d13f0f768381.png)
简而言之,雇主和员工都应该明白,衡量工作投入情况这件事情值得做。许多研究人员认为,工作越投入,倦怠的概率就越低。
四、工作倦怠的演变
光有职业倦怠的评估模型是不够的。要想采取行动,我们还需要一个发展模式——也就是倦怠演变的框架。通常用连续的阶段来描述倦怠的演变。
倦怠的演变有一个简化版模型,那就是 MBI 。我们可以看看是哪个维度先发生了变化。马斯拉赫说,一般是先出现疲惫状况(也许是为了应付高强度的工作)。疲惫进而导致玩世不恭,表现为对工作和同事做出冷漠和负面反应。到最后,出现了工作低效的情况。
但是,对于倦怠发展的了解我们还可以提高精确度。目前有两种接受度最高的职业倦怠发展模型是工作要求资源模型(Job Demands-Resources ,JD-R)模型以及资源保存(COR)模型,这两种模型都比那个基于 MBI 的简化版更精细。下面就逐一来看看。
01.工作要求资源模型(JD-R)模型
JD-R 模型将每个职业分为两大类:工作要求和工作资源。工作要求是工作对个体的生理、心理、社交能力等方面的要求,需要个体付出相应的努力或成本才能完成工作的因素。可能是工作时间长、工作压力大以及与老板互动的要求高。但这些因素不一定就是负面的!只是如果这些情况老是存在,妨碍员工获得足够休息的话,就有可能会变成负面因素。
而工作资源是工作中与生理、心理、社会或组织等方面相关,可以帮助员工实现工作目标,降低工作要求和成本,促进个人成长的因素。一个人拥有的工作资源越多,对其提出工作要求就越安全。
![【认知】职业倦怠终极指南:症状、成因与预防插图1 图片[2]—【H181】职业倦怠终极指南:症状、成因与预防—求知行囊阅览室](https://www.aganrz.cn/wp-content/uploads/2025/06/18999f60-3f31-4e0e-ac88-b6ee786aff9f.jpg)
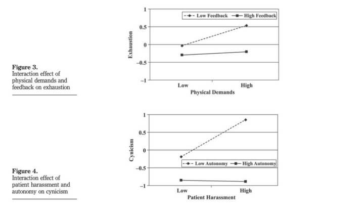
这些图表显示,当获得高水平的反馈和自主权等工作资源时,家庭护理人员对疲惫的承受力会更强,也更不容易会玩世不恭。
![【认知】职业倦怠终极指南:症状、成因与预防插图2 图片[3]—【H181】职业倦怠终极指南:症状、成因与预防—求知行囊阅览室](https://www.aganrz.cn/wp-content/uploads/2025/06/da610620-03d3-457b-9039-e95dd4270230.jpg)
这些图表明,当获得高水平创新以及被高度认可的支持时,老师就可以更好地应对学生的不当行为。
这一理论已经在多项研究中得到验证,而且这些研究的结果相当一致。比方说,图 3 和图 4 取自 2006 年的一项研究,研究对象是两个家庭护理机构的员工。研究人员发现,当家庭护理人员获得高水平以及自主权等工作资源时,就算面对高强度的身体劳动与患者骚扰,其抗疲惫能力也会更强,不那么容易有态度问题。图 5 和图 6 取自 2006 年对芬兰小学、中学和职业学校教师的研究。这些研究人员发现,如果工作文化重视创新,对教师予以充分赏识,老师就能更好地应对学生的不当行为。
![【认知】职业倦怠终极指南:症状、成因与预防插图3 图片[4]—【H181】职业倦怠终极指南:症状、成因与预防—求知行囊阅览室](https://www.aganrz.cn/wp-content/uploads/2025/06/a4f10bd2-1cb9-48e6-9c12-8f51aa58ab75.jpg)
这些图表以及 Bakker 等人的综述论文所引用的其他研究均表明,在高工作要求条件下,高水平的工作资源有助于改善倦怠的影响。
不妨花几秒钟时间看看下面 Bakker 评论论文中引用的各种工作要求和资源,看完你对不同工作场合的工作要求和工作资源就能有大概的了解了。
![【认知】职业倦怠终极指南:症状、成因与预防插图4 图片[5]—【H181】职业倦怠终极指南:症状、成因与预防—求知行囊阅览室](https://www.aganrz.cn/wp-content/uploads/2025/06/b0227cd5-3a52-4ed0-aac2-4b76b03e92c9.jpg)
02.这个怎么用?
作为员工,如果对你的工作要求始终很高,而且似乎都没有放松的迹象的话,那你就得利用好手头的工作资源了。
说得具体一点,你需要有工作的自主权,你需要获得公平有效的反馈,你应该获得社会支持,与主管建立高质量的关系。这里重点要指出的是,可用的工作资源你没法都控制得了,因为这是你的直接领导、公司领导以及工作环境的职能。
如果你是雇主,需要知道的是,如果能为他们提供大量的工作资源,就可以对员工提出很高的工作要求也不会导致他们面临倦怠的风险。建立更好的工作文化,纳入更多的反馈循环,让员工自主工作,并花时间与员工建立高质量的关系。
03.资源保存(Conservation of Resources ,COR)模型
资源保存(COR)模型为工作倦怠的演变提供了另一种解释。 COR 模型理论认为,个人“努力获得和维持自己重视的东西”,它称之为“资源”。当工作阻止人们获取或维持这些资源时,压力就会随之而来,最终导致倦怠。说得具体一点,压力在以下情况下会累积:
1.资源受到威胁。
2.资源丢失。
3.当人们投入资源却没有获得预期的收益时。
资源可以定义为:
1.物质资源——漂亮的衣服、汽车。
2.条件资源——就业、婚姻、社会地位。
3.个体资源——公开演讲能力、交际能力。
4.能量资源——时间、精力。
有时候,人们会投入时间和精力等资源去追求权力和金钱等更珍贵的资源。如果他们投入了这些资源但没有获得预期收益,就会被认为是一种损失。
当这些个人资源丢失,并且员工无法弥补这些损失时,员工就会面临倦怠的风险。
鉴于 JD-R 和 COR 模型十分相似,你可能会问:它们之间有什么区别?
不同之处在于 COR 模型把损失放在首位。换句话说,它认识到损失比收益更显著。失去资源的人需要获得更多的资源来弥补损失。
从某种角度来说,这个理论更现实一些。比方说,如果你在某项目上投入了大量资金,但管理层决定终止该项目的话,你可能需要一段时间的恢复才能弥补损失。
04.工作生活领域量表(Areas of Worklife Scale ,AWS)
这就引出了一个更新的模型。工作生活领域量表(AWS)是 Michael Leiter 和 Christina Maslach 根据过去二十年倦怠研究文献建立的衡量标准,这个模型还不太成熟,但也许可行性更强。它不仅是为学术研究人员设计的工具,对从业者也很有帮助。
Leiter 和 Maslach 在回顾关于职业倦怠和工作压力的研究时,他们确定了六个会让人面临职业倦怠风险的关键领域。
1)工作量
这是最明显、被讨论最多的一个领域。在太短的时间内有太多事情要做,资源太少的人就会有倦怠的风险,尤其是在疲惫这个维度上。同样地,并不是工作量大就一定会导致倦怠。如果人们有机会或资源来恢复,那么工作量大也是可以管理的。
2)控制
这个领域代表“员工感受到的以下几种能力:影响会对其工作造成影响的决策的能力、行使职业自主权的能力,以及获得完成有效工作所需资源的能力”。对工作几乎没有控制权的员工可能会觉得工作效率低下(属于MBI 的三个维度之一)。
3)奖励
最明显的一个是金钱,但社会奖励和内在奖励(intrinsic rewards)也算。缺乏认可(社会奖励)会降低工作和员工的价值。这一点与效率低下的感觉密切相关。内在奖励也应该做,做了一件很重要的事,而且做得很好,那种油然而生的自豪感就是内在奖励。
4)社区
社区代表了“工作当中社交互动的整体质量,包括冲突、相互支持、亲密关系以及团队协作能力”。当今的工作社区远程办公或混合办公已经常态化,与 COVID 之前的时代已大不相同。但不管怎样,缺乏社会支持,或者与同事长期存在冲突仍然是导致倦怠的关键因素。
5)公平
公平代表“人们感知到的工作决定的公平程度,受尊重程度”。比方说招聘或晋升流程等的公平性。哪怕结果对特定员工不利——比如未获升职——只要相关员工认为过程是公平的,他们也能接受。出现大规模裁员和企业重组(就像 COVID-19 疫情最严重的时候所发生的事情那样),则可以向员工揭示所在工作场所是否存在公平或不公平现象。
6)价值观
价值观就是“一开始吸引员工过来工作的理想和动机。”价值观高于金钱或晋升。这关乎的是公司价值观和行为与员工个人价值观和行为的一致性。如果不一致,员工将面临倦怠三方面的风险。
以下是上述内容的摘要:
![【认知】职业倦怠终极指南:症状、成因与预防插图5 图片[6]—【H181】职业倦怠终极指南:症状、成因与预防—求知行囊阅览室](https://www.aganrz.cn/wp-content/uploads/2025/06/8e28b450-53b8-49cc-a151-5bd0b4f4c4b8.jpg)
Leiter 和 Maslach 提出,在工作生活这六个领域,人与工作的不匹配程度越大,倦怠的可能性就越高。反之亦然:匹配度越高,人的投入程度就越高。不过,这六个领域之间存在着复杂的相互关系。比方说,如果你从一开始就没有控制权,自然也没法做出改变,减少工作量。
因此,Leiter 和 Maslach 假设了下面的模型,叫做中介模型(Mediation Model),用这个模型阐述工作生活六个领域与职业倦怠三个维度之间的关系。中介模型是一种组织变革模型——这意味着它的目的是为应对职场倦怠、拟对组织做出调整的领导提供指导。
这种模型属于加法模型,相对比较简单,工作生活的六个领域任何一个存在不匹配都会增加倦怠的机率。Leiter 和 Maslach 后来又提出了一种更复杂的相互关系,他们假设,“控制”这个要素更加重要,因为对员工影响决定其工作生活质量的人员和流程的能力太关键了,所以要把它当作中介模型的起点。控制会影响到对“工作量”、“奖励”、“社区”和“公平”等其他领域的影响力。而“价值观”则起到了对其他领域(“工作量”领域除外)与 MBI 的整合与中介的作用。MBI 的假设是疲惫会导致玩世不恭,而玩世不恭会导致低效。 MBI 的三个维度均会导致“评估变革的结果”——研究人员认为,也就是说,员工觉得组织是变好了还是变坏了。
![【认知】职业倦怠终极指南:症状、成因与预防插图6 图片[7]—【H181】职业倦怠终极指南:症状、成因与预防—求知行囊阅览室](https://www.aganrz.cn/wp-content/uploads/2025/06/38830922-c749-4463-b9dc-926f1d8b68aa.jpg)
中介模型说明了工作生活六个领域与倦怠的三个维度之间的关系。







暂无评论内容